介绍
称函数为效用函数 线性回归模型看起来非常简单,简单到让人怀疑其是否有研究价值以及使用价值。但实际上,线性回归模型可以说是最重要的数学模型之一,很多模型都是建立在它的基础之上,可以被称为是“模型之母”。
1.1 什么是简单线性回归
所谓简单,是指只有一个样本特征,即只有一个自变量;所谓线性,是指方程是线性的;所谓回归,是指用方程来模拟变量之间是如何关联的。
简单线性回归,其思想简单,实现容易(与其背后强大的数学性质相关。同时也是许多强大的非线性模型(多项式回归、逻辑回归、SVM)的基础。并且其结果具有很好的可解释性。
1.2 一种基本推导思
我们所谓的建模过程,其实就是找到一个模型,最大程度的拟合我们的数据。 在简单线回归问题中,模型就是我们的直线方程:y = ax + b 。
要想最大的拟合数据,本质上就是找到没有拟合的部分,也就是损失的部分尽量小,就是损失函数(loss function)(也有算法是衡量拟合的程度,称函数为效用函数(utility function)):

因此,推导思路为:
- 通过分析问题,确定问题的损失函数或者效用函数;
- 然后通过最优化损失函数或者效用函数,获得机器学习的模型
近乎所有参数学习算法都是这样的套路,区别是模型不同,建立的目标函数不同,优化的方式也不同。
回到简单线性回归问题,目标:
已知训练数据样本、 ,找到和的值,使 尽可能小
这是一个典型的最小二乘法问题(最小化误差的平方)
通过最小二乘法可以求出a、b的表达式:

最小二乘法
2.1 由损失函数引出一堆“风险”
2.1.1 损失函数
在机器学习中,所有的算法模型其实都依赖于最小化或最大化某一个函数,我们称之为“目标函数”。
最小化的这组函数被称为“损失函数”。什么是损失函数呢?
损失函数描述了单个样本预测值和真实值之间误差的程度。用来度量模型一次预测的好坏。
损失函数是衡量预测模型预测期望结果表现的指标。损失函数越小,模型的鲁棒性越好。。
常用损失函数有:
0-1损失函数:用来表述分类问题,当预测分类错误时,损失函数值为1,正确为

平方损失函数:用来描述回归问题,用来表示连续性变量,为预测值与真实值差值的平方。(误差值越大、惩罚力度越强,也就是对差值敏感)

- 绝对损失函数:用在回归模型,用距离的绝对值来衡量

- 对数损失函数:是预测值Y和条件概率之间的衡量。事实上,该损失函数用到了极大似然估计的思想。P(Y|X)通俗的解释就是:在当前模型的基础上,对于样本X,其预测值为Y,也就是预测正确的概率。由于概率之间的同时满足需要使用乘法,为了将其转化为加法,我们将其取对数。最后由于是损失函数,所以预测正确的概率越高,其损失值应该是越小,因此再加个负号取个反。

以上损失函数是针对于单个样本的,但是一个训练数据集中存在N个样本,N个样本给出N个损失,如何进行选择呢?
这就引出了风险函数。
2.1.2 期望风险
期望风险是损失函数的期望,用来表达理论上模型f(X)关于联合分布P(X,Y)的平均意义下的损失。又叫期望损失/风险函数。
2.1.3 经验风险
模型f(X)关于训练数据集的平均损失,称为经验风险或经验损失。
其公式含义为:模型关于训练集的平均损失(每个样本的损失加起来,然后平均一下)
经验风险最小的模型为最优模型。在训练集上最小经验风险最小,也就意味着预测值和真实值尽可能接近,模型的效果越好。公式含义为取训练样本集中对数损失函数平均值的最小。
2.1.4 经验风险最小化和结构风险最小化
期望风险是模型关于联合分布的期望损失,经验风险是模型关于训练样本数据集的平均损失。根据大数定律,当样本容量N趋于无穷时,经验风险趋于期望风险。
因此很自然地想到用经验风险去估计期望风险。但是由于训练样本个数有限,可能会出现过度拟合的问题,即决策函数对于训练集几乎全部拟合,但是对于测试集拟合效果过差。因此需要对其进行矫正:
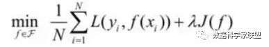
- 结构风险最小化:当样本容量不大的时候,经验风险最小化容易产生“过拟合”的问题,为了“减缓”过拟合问题,提出了结构风险最小理论。结构风险最小化为经验风险与复杂度同时较小。
通过公式可以看出,结构风险:在经验风险上加上一个正则化项(regularizer),或者叫做罚项(penalty) 。正则化项是J(f)是函数的复杂度再乘一个权重系数(用以权衡经验风险和复杂度)
2.1.5 小结
1、损失函数:单个样本预测值和真实值之间误差的程度。
2、期望风险:是损失函数的期望,理论上模型f(X)关于联合分布P(X,Y)的平均意义下的损失。
3、经验风险:模型关于训练集的平均损失(每个样本的损失加起来,然后平均一下)。
4、结构风险:在经验风险上加上一个正则化项,防止过拟合的策略。
2.2 最小二乘法
2.2.1 什么是最小二乘法
言归正传,进入最小二乘法的部分。
大名鼎鼎的最小二乘法,虽然听上去挺高大上,但是思想还是挺朴素的,符合大家的直觉。
最小二乘法源于法国数学家阿德里安的猜想:
对于测量值来说,让总的误差的平方最小的就是真实值。这是基于,如果误差是随机的,应该围绕真值上下波动。
即:
那么为了求出这个二次函数的最小值,对其进行求导,导数为0的时候取得最小值:
进而:
正好是算数平均数(算数平均数是最小二乘法的特例)。
这就是最小二乘法,所谓“二乘”就是平方的意思。
(高斯证明过:如果误差的分布是正态分布,那么最小二乘法得到的就是最有可能的值。)
2.2.2 线性回归中的应用
我们在第一章中提到:
目标是,找到a和b,使得损失函数:尽可能的小。
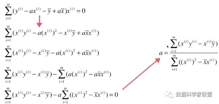
这里,将简单线性问题转为最优化问题。下面对函数的各个位置分量求导,导数为0的地方就是极值:
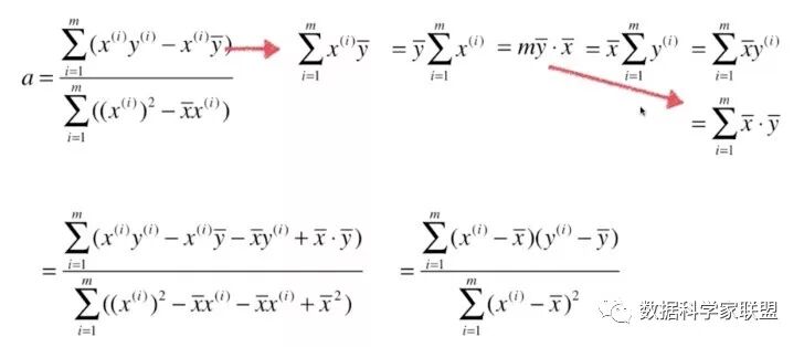
对 进行求导:
然后mb提到等号前面,两边同时除以m,等号右面的每一项相当于均值。
现在 对 进行求导:
此时将对 进行求导得到的结果 代入上式中,得到:
将上式进行整理,得到
将上式继续进行整理:
这样在实现的时候简单很多。
最终我们通过最小二乘法得到a、b的表达式:
总结
本章中,我们从数学的角度了解了简单线性回归,从中总结出一类机器学习算法的基本思路:
- 通过分析问题,确定问题的损失函数或者效用函数;
- 然后通过最优化损失函数或者效用函数,获得机器学习的模型。
理解了损失函数的概念,并列举出了常见损失函数,并引出了一堆“风险”。最后为了求出最小的损失函数,学习了最小二乘法,并进行了完整的数学推导。
下一篇,我们将会实现简单线性回归,并添加到我们自己的工程文件里。